服务热线:彭总:18127915119
气体灭火防护区应设置泄压口,但有些特殊场所设置泄压口可能确有困难,比如医疗CT(或MRI)等设备用房,以及一些特殊库房等,本文提出参考解决方案!
文末附疑难探讨:医疗CT、DR、MRI、CR、数字肠胃镜、直线加速器、回旋加速器等设备用房,是否需要设置气体灭火系统?
有防辐射要求的CT、MRI等设备机房,以及一些不方便开设洞口的特殊库房等,这些场所设置气体灭火系统时,应和相关建设单位沟通,尽量在工艺许可的前提下设置泄压口,对于确实不方便开设泄压口的情况,应提出技术条件,要求机房围护结构能够承受气体灭火设备喷放时产生的内压。
一、特殊情况下的防护区,可以不设置泄压口:
气体灭火设备喷放时,气体灭火剂喷入防护区内,会显著地增加防护区的内压,如果没有适当的泄压口,防护区的围护结构将可能承受不起增长的压力而遭破坏。
泄压口设置的目的,是防止气体灭火喷放时内压超过防护区的承受能力,因此,对于一些不能设置泄压口的特殊场所,当气体灭火喷放不会超过防护区承受能力时,可以不设置泄压口。
二、不同灭火浓度的气体灭火剂,喷放后的防护区压强不同:
较低灭火浓度的气体灭火剂,产生的内压也相对较低,目前较理想的气体灭火剂是七氟丙烷,灭火浓度较低,且可以控制在人体安全浓度内(详见:气体灭火NOAEL、LOAEL,设计施工必须掌握的重要指标!)。
三、计算示例:
我们以七氟丙烷灭火系统为例,计算灭火剂喷放后的防护区压强:
某医院CT(或MRI)设备机房,房间体积V1=305 m³,采用柜式七氟丙烷灭火装置,设计灭火浓度8%,对人体安全,灭火剂设计用量194kg,实际用量W0=198kg,选用两台90L灭火装置,灭火剂充装密度1100kg/m³。
1、计算七氟丙烷灭火剂在常温常压下的体积:
七氟丙烷灭火剂在钢瓶内液态储存,七氟丙烷灭火剂在常温常压(标准大气压,P0=1.01*105Pa)下的密度约ρ=7.29kg/ m³,七氟丙烷灭火剂在常温常压下的气体体积(V2)为:
2、计算灭火剂储瓶内氮气在常温常压下的体积:
柜式七氟丙烷的压力约为2.5MPa(表压),瓶内氮气压力为P瓶=2.6MPa(绝对压力),折算到常温常压下的气体体积(V3)为:
注:常温下液态七氟丙烷密度ρ1为1406kg/m³;单个90L储瓶容积V瓶为0.09m³。
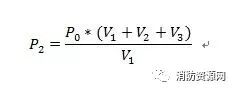
3、气体灭火剂喷放后,防护区压强P2:
其中:P0=1.01*105Pa,V1=305m³,
V2=27.16m³,V3=1.01m³,由此可得:
房间相对(大气压)压强=P2-P0=110328-101325=9003Pa=9.0KPa
4、由上可知,本示例中,灭火剂喷放后的防护区压强为9.0KPa,不到0.1个大气压(P0=101KPa)。经与专业机房建设单位沟通,通常的屏蔽机房和密闭库房均能满足此要求(具体仍应履行相关程序,做好计算复核和必要的加固措施)。
注1:为降低气体灭火喷放后的防护区压强,本示例采用了较高的灭火剂充装密度,以减少氮气用量,需要注意的是,对于常规的气体灭火防护区,灭火剂充装密度不宜高,通常情况下,较低的充装率能获得更理想的灭火效果。
注2:依据《气体灭火系统设计规范》(3.3.14-2),由灭火剂过热蒸气在101kPa大气压和防护区最低环境温度下的质量体积,可算出七氟丙烷20℃常压下蒸气密度为7.29 kg/m³。(假定温度为20℃不变)
四、解决方案:
实际应用中,对于一些不能设置泄压口的特殊场所,当气体灭火喷放不会超过防护区承受能力时,可以不设置泄压口。但应计算气体灭火喷放后的防护区压强(可参照第三项示例),由机房建设单位做好必要的加固和处置措施。
五、引伸解读:
医疗CT、DR、MRI、CR、数字肠胃镜、直线加速器、回旋加速器等设备用房,是否需要设置气体灭火系统?
这类场所是否需要设置气体灭火系统,可分为三种情况:
1、根据《综合医院建筑设计规范》(GB51039)要求,医院的贵重设备用房、病案室和信息中心(网络)机房,应设置气体灭火装置(6.7.3)。
医院哪些部位属于贵重设备用房,可参考业主单位意见。
2、根据《建筑设计防火规范》要求(8.3.9),如果属于“特殊重要设备室”,需要设置气体灭火系统。具体判断原则和要求,可详见专题:哪些情况属于“特殊重要设备室”
3、对于按规范需要设置自动灭火系统的建筑,设备房间需要设置自动灭火系统,对于不适宜用水的部位,通常采用气体灭火系统。
注:规范另有规定者除外,比如《综合医院建筑设计规范》(GB51039)规定: 血液病房、手术室和有创检查的设备机房,不应设置自动灭火系统(6.7.4)。
六、视频解读:气体灭火系统全集(点击进入)


扫一扫·免费设计·咨询
技术支持:搜浪网络